
Input |
Description |
Model: |
A drop-down list of all Model components defined in the project. You use this list to select the model to be analysed. |
Contact Modelling: |
A drop-down list that allows you to specify the contact modelling option. The options are Simple (the default), Standard, Pivoting Bed, Non-Pivoting Bed and Roller. PipeLay provides a range of options for checking if a pipeline or cable is in contact with a rollerbox. These options range from a relatively simple contact model capable of modelling the most important aspects of the response of the pipeline/stinger system, to a more sophisticated and realistic model that is capable of capturing the detailed characteristics of the pipeline/stinger interaction, including relative axial and transverse pipe motion with anisotropic friction effects. These options are discussed in Technical Note 5 - Contact Modelling Options. Note that this drop-down list is disabled in PipeLay Starter Edition and the contact modelling option is set to Simple. |
Swivel: |
A drop-down list that allows you to specify the swivel option. The options are No (the default), About Horizontal Axis, About Vertical Axis and About Horizontal Axes. The Swivel option allows you to set which axes (if any) you wish the supports to rotate about in order to adapt to the orientation of the pipeline resting on them. Refer to Technical Note 5 for a detailed description of each of the swivel options. Note that this drop-down list is disabled in PipeLay Starter Edition and the swivel option is set to No. |
Bypass Cable Pre-static Step: |
A drop-down list that allows you to specify if you want to bypass the cable pre-static preprocessing step. The options are Yes or No. The default is No. |
Run Stages in Parallel: |
A drop-down list that enables you to specify if you want the analysis stages to run in parallel. The number of stages that can be executed concurrently is determined by the value specified in the Options dialog The options are Yes and No. The default is No. Note that this option is ignored if only a single stage is selected to run. |
Select Stages: |
Click on the Define button to open the Analysis – Select Stages dialog. See the ‘Analysis – Select Stages’ section for a detailed description of this dialog. |
Dynamic - Database |
Click on the Database button to open the Analysis – Database dialog. See the ‘Analysis – Database’ section for a detailed description of this dialog. |
Dynamic - Damping |
Click on the Damping button to open the Analysis – Damping dialog. See the ‘Analysis – Damping’ section for a detailed description of this dialog. |
Dynamic - Tolerance |
Click on the Tolerance button to open the Analysis – Tolerance dialog. See the ‘Analysis – Tolerance’ section for a detailed description of this dialog. |
Primary Vessel: |
A drop-down list of all vessels included in the model. The vessel motion time history generation facility is described in detail in ‘Vessel Motion Timetrace History’. |
Wave: |
A drop-down list of all Wave components defined in the project. |

Input |
Description |
Action: |
A drop-down list that allows you to select whether to include or exclude the stages listed in the Stages text box in the analysis. |
Stages: |
The stages that you want to include or exclude in the analysis. Use a comma to separate the stage numbers or a dash to indicate a range of stages. For example, 1,2,3,6-10. |

Input |
Description |
Record At: |
A drop-down list that allows you to select the frequency of database output. There are two options available, All time steps, which produces database output at all solution times, and Selected time steps (the default), which produces output at a recording interval you specify. |
Start Time: |
The time in seconds at which to start output to the database file when the Selected time steps output option is invoked. By default, output begins at the simulation start time. This input is ignored for database output at All time steps. |
Recording Interval: |
The time interval in seconds between database outputs when the Selected time steps output option is invoked. This input is ignored for database output at All time steps. The default value is 0.2, when the Selected time steps output option is invoked. |
Velocity & Acceleration: |
An option to Exclude (the Default) or Include nodal velocities & accelerations from the motion database as required. |
Shear Force: |
An option to Exclude (the Default) or Include shear forces from the force database as required. |
Torque Moment: |
An option to Exclude (the Default) or Include torque moments from the force database as required. |

Input |
Description |
Stiffness Damping Coefficient: |
The value of the stiffness damping coefficient λ. This defaults to a value of 0. The structure damping matrix C, which multiplies the vector of structure velocity on the left hand side of the equations of motion, is defined by: C = λK + μM where K is the structure stiffness matrix, M is the structure mass matrix, and λ and μ are the stiffness and mass coefficients specified here. |
Mass Damping Coefficient: |
The value of the mass damping coefficient μ. This defaults to a value of 0. A small level of damping is beneficial in many dynamic analyses in dissipating the effects of transients and high frequency noise. However, what particular values of λ and μ represent a small level of damping is very much dependent on the structure under consideration. For this reason, and because it is obviously important to quantify the effect particular values are having on the response in a particular run, it is generally recommended that you perform a dynamic analysis with no damping, either initially or as a check. |

Input |
Description |
Comp Type: |
A drop-down list that allows you to specify the component type for which the snapshot is to be produced. There are three options on the Comp Type list, Line, Pipe Section and Cable. The default is Line. If you change from the default, the type you specify becomes the default for subsequent damping entries, until you explicitly change it again. |
Comp Name: |
A drop-down list that allows you to select the component for which the damping will be applied. This list contains all components of the specified type in the selected model. There is no default name however when you select a particular component that name becomes the default for subsequent damping entries, until you explicitly change it again. If ALL is selected, the damping coefficients are applied to all components for the selected Comp Type. |
Location: |
A drop-down list that allows you to specify the location of a line to apply the damping coefficients. There are three options on the Location list: All, Sagbend and Overbend. The default is All. Note: The Location is only applied when the Comp Type is Line and is ignored in all other cases. If ALL is selected for the Line type, the location is applied to all line components. |
Stiffness Damping Coefficient: |
The value of the stiffness damping coefficient λ for the specified component. This defaults to a value of 0. The structure damping matrix C, which multiplies the vector of structure velocity on the left hand side of the equations of motion, is defined by: C = λK + μM where K is the structure stiffness matrix, M is the structure mass matrix, and λ and μ are the stiffness and mass coefficients specified here. |
Mass Damping Coefficient: |
The value of the mass damping coefficient μ for the specified component. This defaults to a value of 0. A small level of damping is beneficial in many dynamic analyses in dissipating the effects of transients and high frequency noise. However, what particular values of λ and μ represent a small level of damping is very much dependent on the structure under consideration. For this reason, and because it is obviously important to quantify the effect particular values are having on the response in a particular run, it is generally recommended that you perform a dynamic analysis with no damping, either initially or as a check. |

Input |
Description |
Tolerance Measure: |
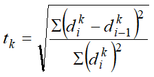
The tolerance used in determining if convergence has been achieved between successive iterations at a particular solution time. This input is optional, and defaults to 0.025 (2.5%). PipeLay determines if convergence has been achieved at each analysis time step by computing a convergence measure t as follows: t = maximum (t1, t2, .... t8) = maximum (tk) where and If the computed value of t at a particular time step is less than the analysis tolerance measure, then convergence has been achieved and the solution advances to the next time step. If not, a further iteration begins. The number of such iterations is limited to the maximum number of iterations specified here. |
Maximum Number of Iterations: |
The maximum number of iterations PipeLay may perform at a particular time. The default number of iterations is 20. See the description above for Tolerance Measure. |
Small Torque Value: |
A value of torque below which PipeLay does not enforce convergence on torque for each element. The default value is 10. The inclusion of torque in the convergence calculations can in some analyses increase the number of iterations required for convergence. In reality, the actual torque values may be small, and the influence of torque on the solution (as opposed to the rate of achieving this solution) minimal. The Small Torque Value input can be used in such cases to effectively instruct PipeLay to ignore torque in determining convergence. Specifically, when PipeLay computes t8, it ignores those elements for which torque is below the user-specified or default Small Torque Value. If convergence is slow in a 3D analysis, you may wish to increase from the default value to 100, 500 or possibly 1000. It is strongly recommended that if you exercise this option for a series of analyses that you do at least one verification run to ensure the assumption about the relative unimportance of torque is valid. The small torque value is not dimensionless and so the default value is typically 10 Nm or 10 ft.lb. Units: [Nm] or [ft.lb] |
Rigid Surface Threshold Penetration: |
A threshold value to use in checking seabed penetration as part of the convergence calculations. By default, this input is left blank. Rigid seabed contact is modelled in PipeLay by checking the positions of all nodes at every iteration. If a node is found to have penetrated the seabed, it is brought back to the mudline, and a boundary condition is applied in the direction normal to the surface to prevent further penetration. This checking for seabed contact takes place prior to the solution of the equations of motion. Convergence checking on the other hand takes place just after the equations have been solved. A situation can occasionally occur where PipeLay deems convergence to have been achieved, but in fact one or more nodes have penetrated the seabed and would have boundary conditions applied if a further iteration were to occur. This can sometimes lead to unreasonable moments or stresses being reported. In this case, you can use the Rigid Surface Threshold Penetration input to prevent this occurring. If you input any threshold value, it is an instruction to PipeLay to check all nodes for seabed penetration as part of the convergence checking after solving the equations of motion. Furthermore, if a node has penetrated the seabed to a depth greater than the threshold you specify here, then convergence cannot be deemed to have been achieved, regardless of the maximum convergence measure calculated using the convergence measure equation described in Tolerance Measure. The rationale for specifying a threshold is to prevent unnecessary iterating in the case for example of infinitesimal penetrations. Units: [m] or [ft] |
Negative Reaction Threshold: |
A threshold value to use in checking reactions at seabed nodes as part of the convergence calculations. By default, this input is left blank. For the case of nodes which already have boundary conditions applied due to seabed contact at an earlier solution time, then as part of the seabed monitoring process, PipeLay checks the value of the reaction in the normal direction. If the reaction is positive, this means the node is “pressing down” on the seabed and the boundary condition should be retained. If on the other hand the reaction is negative, then the seabed is “holding onto” the node and the boundary condition should be removed. Again this process is done prior to solving the equations of motion, and again a situation can occasionally arise that convergence is deemed to be achieved when a reaction at a seabed node is negative, and the node would be released if a further iteration were to occur. You can use the Negative Reaction Threshold input to prevent this occurring. If you input any threshold value, it is an instruction to PipeLay to check for negative reactions at all seabed nodes as part of the convergence checking after solving the equations of motion. Furthermore, if the magnitude of any reaction is greater than the threshold you specify here, then convergence cannot be deemed to have been achieved, regardless of the maximum convergence measure calculated using the convergence measure equation described in Tolerance Measure. The rationale for specifying a threshold is to prevent unnecessary iterating in the case for example of infinitesimal negative reactions. Note that the value you specify here is a magnitude – that is, it should be a positive rather than a negative number. Units: [kN] or [kips] |

Input |
Description |
p-infinity Coefficient: |
The coefficient used in the Generalised Alpha numerical method. This input is optional, ranges between 0 and 1 and defaults to 0.4. |

Input |
Description |
Stage Number: |
A number to identify the installation stage. The number you specify must be an integer between 1 and 1000. |
Stage Type: |
A drop-down list that allows you to select whether the installation stage is to be analysed statically or dynamically. |
Restart: |
A drop-down list that allows you to select whether or not the current stage is to be restarted from a previous installation stage. By default, No is selected. Pipelay contains a restart capability which allows you to incrementally build an analysis with each installation stage restarting from the end of the previous stage. In a restart, the structure configuration at the end of the preceding analysis becomes the starting configuration for the restart. |
Restart From: |
A drop-down list of all the installation stages already included in the analysis. You use this list to select the stage from which the current stage is to be restarted if the Restart facility has been invoked. The restart stage number should be lower than the number of the currently selected installation stage. This menu is disabled if No is selected in the Restart drop-down list. |
Time Step Type: |
A drop-down list that allows you to specify whether the time stepping procedure uses a fixed or a variable time step. To specify the actual time variables such as start time, finish time, and so on, you click on the Define button. The windows presented for each of the time step options are described later in this section. In general, no time variables are required for static analyses. All static analyses run from 0 to 1 seconds and these values are set internally by PipeLay. In a static analysis, the time step used is also normally determined internally by PipeLay. The only exception is where the analysis is a static restart analysis, in which case you can specify the number of increments and this value is used to determine the time step used. |
Time: |
Click on the Define button to open a Time dialog. The dialog that is displayed depends on the options that you select in the Stage Type and Time Step Type drop-down lists. See the 'Analysis - Time Step Fixed', 'Analysis - Time Step Variable' or 'Analysis - Time Fixed Static' sections for further details. |
Automated Postprocessing: |
A drop-down list that allows you to disable the automated postprocessing that PipeLay performs with each analysis. The options available are Yes and No. The default is Yes, to perform the automated postprocessing. PipeLay automatically performs postprocessing on the acquired data every time an analysis runs. The postprocessing is output in the form of the tabular output file and the analysis report file. |
Current: |
A drop-down list of all the Current components that are defined in the project. Select the current that you want to associate with the installation stage. The default is None. |
Tabular Output: |
A drop-down list that allows you to suppress the generation of the Tabular Output file for the installation stage. The options available are Yes and No. The default is Yes, to generate the tabular output file. |
Tabular Option: |
A drop-down list of three options that allows you to control the format of the Tabular Output. The options are Auto (default), Stress or Strain. In the case of Auto PipeLay decides the format itself. This decision is based on whether the model material properties are linear, which results in a Stress format, or non-linear, which results in a Strain format. It is possible to override this automatic decision by explicitly selecting either the Stress or Strain format options yourself. Note that however if the Stress format is selected for non-linear materials defined using the Moment-Curvature or Ramberg-Osgood specifications then the presented bending stress, and any dependent variables, will be set to zero in the tabular output. Refer to the Tabular Output article for more details on the significance of the different formats. |
Primary Wave: |
A drop-down list of all the Wave components that are defined in the project. Select the primary wave that you want to associate with the installation stage. The default entry is to have no wave specified. |
Secondary Wave: |
A drop-down list of all the Wave components that are defined in the project. Select the secondary wave that you want to associate with the installation stage following the selection of a primary wave. The default entry is to have no wave specified. Note that a primary wave must be specified first before a secondary wave can be entered. Also in PipeLay Starter Edition this drop-down list is disabled and no secondary wave can be specified. |
Custom Postprocessing: |
A drop-down list of all Custom Postprocessing components defined in the project. You use this list to specify the custom postprocessing to be completed for this installation stage. The default is <none> in which case no custom postprocessing is completed. Note that any Custom Postprocessing component selected on this drop-down must have the same specified Model component as the Analysis. The only exception to this requirement is the scenario where the Custom Postprocessing component has no associated Model. |
Transfer Adjustments: |
A drop-down list that allows you to request that the model adjustments made during the criteria analysis of the installation stage in question, are transferred to all subsequent installation stages defined on the tab. This transfer process is facilitated by an additional analysis step in the remaining stages, where the necessary model changes are applied. The options available are Yes and No. The default is No, not to transfer adjustments to subsequent installation stages. Note that the transfer process discussed above does not occur in the case where a Component Length is used as the Iterate On option for the criteria analysis of the installation stage in question. |
Reset: |
A Yes or No drop-down list which enables you to reset the current stage such that Parameter changes are relative to the original model, rather than the last stage. Normally a change to the model in one stage is carried forward to all subsequent stages, unless explicitly overridden. For example, if you change the length of a cable in Stage 1 from that specified in the Model component, that cable remains at its new length in Stage 2 and beyond unless you explicitly tell the program otherwise by either changing the length further or by requesting a reset, in which case it goes back to its original value. |
Support Data: |
A button that allows you to export a summary of vessel and stinger support offsets, as calculated/applied by the user interface when creating the model, to a CSV file for viewing. This button is located in the Stage Preview section of the Installation Stages tab. You get a standard Windows Save As dialog when you invoke this button, which you can then use to save the export CSV file in a desired location before viewing. The format of the file is described in 'Model - Exporting Support Data'. |
Disable Preview: |
A tick box that allows you to disable the Stage Preview at the bottom of the Installation Stages tab. This preview allows you to view the model as it develops over each stage. Each time you click on a different stage on the Installation Stages tab the Stage Preview updates to reflect the model parameter changes specified for that stage. Depending on the complexity of the model the update process can occasionally be time consuming and so you may wish to disable the preview in certain cases so as to ensure smooth navigation of the user interface. |

This dialog is displayed when you click on the Define button, having selected Dynamic from the Stage Type drop-down list, and Fixed from the Time Step Type drop-down list.
Input |
Description |
Start Time: |
The simulation start time. By default, the analysis starts at 0 seconds. This input is meaningless in the case of restart installation stages where the simulation always starts from the final solution of the previous stage. |
End Time: |
The simulation end time. |
Time Step: |
The fixed time step to be used in the analysis. |
Ramp Type: |
A drop-down list that allows you to select the type of ramp to be used. There are two types available, Linear (the default) and Nonlinear. This input and the Ramp Time input allow control over the build up of dynamic loads and displacements in an analysis with waves and/or vessel motions. For example, wave loads in a regular wave analysis are typically ramped on over one wave period, and the solution then proceeds for a further three to four wave periods to achieve a steady state solution. When a Nonlinear ramp is specified, a half cosine ramp function rather than the default linear function is used. |
Ramp Time: |
The time over which applied loads and displacements are gradually increased to their full value. |

This dialog is displayed when you click on the Define button, having selected Dynamic from the Stage Type drop-down list, and Variable from the Time Step Type drop-down list.
Input |
Description |
Start Time: |
The simulation start time. By default, the analysis starts at 0 seconds. This input is meaningless in the case of restart installation stages where the simulation always starts from the final solution of the previous stage. |
End Time: |
The simulation end time. |
Ramp Type: |
A drop-down list which allows you to select the type of ramp to be used. There are two types available, Linear (the default) and Nonlinear. This input and the Ramp Time input allow control over the build-up of dynamic loads and displacements in an analysis with waves and/or vessel motions. For example, wave loads in a regular wave analysis are typically ramped on over 1 wave period, and the solution then proceeds for a further 3-4 wave periods to achieve a steady state solution. When a Nonlinear ramp is specified, a half cosine ramp function rather than the default linear function is used. |
Ramp Time: |
The time over which applied loads and displacements are gradually increased to their full value. |
Suggested Time Step: |
A suggested time step that the program uses at the start of the analysis. |
Minimum Time Step: |
The minimum time step value. If a time step below this value is required by the time stepping algorithm, the PipeLay analysis terminates unsuccessfully. |
Maximum Time Step: |
A maximum time step value. The program will not allow the time step to exceed this value, regardless of the recommendation of the time stepping algorithm. |
Step Length: |
The factor to be used by the program in calculating the analysis time step from the instantaneous current period. This defaults to a value of 0.055 seconds. The program calculates the analysis time step, when this is based on the current period, by multiplying the instantaneous current period value by the factor specified under the heading of Step Length. So, for example, the default Step Length value of 0.055 means the time step is approximately 1/18th of the dominant period in the dynamic response at any time. The default value is adequate in almost all cases, but may occasionally be increased (say to 0.1 or 1/10th) by experienced users who feel the resulting time step is too short. |
The program chooses an optimum time step based on two main criteria, namely i) the number of iterations required for the last three convergent solutions, and ii) the instantaneous current period, which is a measure of the dominant period in the response at any particular instant. The exact details are immaterial here, except to note that the process is efficient and largely transparent to the user.

This dialog is displayed when you click on the Define button, having selected Static from the Stage Type drop-down list, and Yes from the Restart drop-down list.
Input |
Description |
Number of Increments: |
The number of increments in time going from the analysis start time to end time. Normally, static loads and displacements can be applied in a single step, and if this is the case, the default value of 1 is sufficient. If a number greater than 1 is specified, then the static loads and displacements are built up to their full values at the end of the analysis over the specified Number of Increments. Although time variables are largely notional in a static analysis, the start and end times in a restart static analysis are set internally by PipeLay as 0 and 1 seconds, respectively. The time step used in the analysis is the inverse of Number of Increments. |

Input |
Description |
Stage: |
A drop-down list of the analysis stages defined on the Installation Stages tab. This number identifies the installation stage in which the parameter is to be adjusted. Once a parameter has been adjusted for a particular installation stage, the adjustment is carried through to all subsequent installation stages unless the parameter is redefined or removed. |
Parameter Type: |
A drop-down list that allows you to specify the type of parameter to be adjusted. The list of parameter types varies depending on whether the stage that is specified in the Stage drop-down list is a restart or a non-restart stage as described below. Non-Restart Stages (Static): The list of parameter types that are available for modification for a static non-restart stage are Cable, Pipe Section, Vessel Offset, Vessel Trim, Vessel Heel, Vessel Surge, Vessel Sway, Vessel Yaw, Heave Offset, Intersection Point, Water Depth, Load, Constraint, Stinger, Vessel Radius, Support, Cable Start, Cable End, Line Start, Line End, Friction Modelling, Cable Stabiliser and Pipe Section Stabiliser. Non-Restart Stages (Dynamic): The list of parameter types that are available for modification for a dynamic non-restart stage are Cable, Pipe Section, Vessel Offset, Vessel Trim, Vessel Heel, Vessel Surge, Vessel Sway, Vessel Yaw, Heave Offset, Intersection Point, Water Depth, Load, Constraint, Stinger, Stinger Radius of Curvature, Vessel Radius, Support, Cable Start, Cable End, Line Start, Line End, Friction Modelling, Wave Height, Wave Period, Wave Direction, Cable Stabiliser and Pipe Section Stabiliser. Restart Stages (Static): The list of parameter types that are available for modification for a static restart stage are Pay Out (Pipe), Pay Out (Cable), Pay In, Friction Modelling (Restart), Friction Sensitivity, Vessel Offset, Vessel Surge, Vessel Sway, Vessel Yaw, Heave Offset, Active Length Change and Load. Restart Stages (Dynamic): The list of parameter types that are available for modification for a dynamic restart stage are Pay Out (Pipe), Pay Out (Cable), Pay In, Friction Modelling (Restart), Vessel Offset, Vessel Surge, Vessel Sway, Vessel Yaw, Heave Offset, Wave Height, Wave Period, and Load. |
Component Name: |
A drop-down list that allows you to select the component that is associated with the adjustment. This drop-down list is not available when the selected Parameter Type is Water Depth, Friction Modelling, Pay Out (Pipe) or Friction Modelling (Restart). |
Component Name 2: |
A drop-down list that allows you to select a second component that is associated with the adjustment. This drop-down list is only available when the selected Parameter Type is Friction Sensitivity, Vessel Offset, Load, Cable Start, Cable End, Line Start, or Line End. |
Parameter: |
Click on the Define button to open an Installation Stage Parameter dialog. The dialog that is displayed depends on the option that you selected in the Parameter Type drop-down list. The Installation Stage Parameter dialogs are described in detail later in this section. The Define button is not available when the selected Parameter Type is Cable Start, Cable End, Line Start, or Line End. |

Input |
Description |
Length: |
The new cable length. Units: [m] or [ft] |

Input |
Description |
Length: |
The new pipe section length. Units: [m] or [ft] |

Input |
Description |
Vessel Offset: |
A drop-down list that allows you to specify whether the offset is to be added or removed. By default, the offset is added. Naturally, the Remove option is only valid if the relevant offset has been added in a previous analysis stage. |

Input |
Description |
Vessel Trim: |
The vessel trim value. The default is 0.0°. Units: [deg] |

Input |
Description |
Vessel Heel: |
The vessel heel value. The default is 0.0°. Units: [deg] |

Input |
Description |
Vessel Surge: |
The vessel surge movement value. Units: [m] or [ft] |

Input |
Description |
Vessel Sway: |
The vessel sway movement value. Units: [m] or [ft] |

Input |
Description |
Vessel Yaw: |
The vessel yaw movement value. Units: [deg] |

Input |
Description |
Heave Offset: |
The vessel heave offset value. Units: [m] or [ft] |

Input |
Description |
Length along Line: |
The new position of the intersection point along the line. Units: [m] or [ft] |

Input |
Description |
Water Depth: |
The new water depth. Units: [m] or [ft] |

Input |
Description |
Load: |
A drop-down list that allows you to specify whether the load is to be added or removed. By default, the load is added. Naturally, the Remove option is only valid if the relevant load has been added in a previous analysis stage. |

Input |
Description |
Constraint: |
A drop-down list that allows you to specify whether the constraints are to be switched off or on. By default, the constraints are switched off. Naturally, the On option is only valid if the relevant constraints have been switched off in a previous analysis stage. |

Input |
Description |
Angle (S-Lay – Hitch, J-Lay Tower): |
The new stinger angle. The angle to be adjusted depends on the stinger type of the selected vessel. If the stinger type is S-Lay then the specified angle is the Hitch Angle. If the stinger type is J-Lay then the specified angle is the Tower Angle. Units: [deg] |

Input |
Description |
Centre of Curvature – X: |
The distance of the centre of curvature from the stinger origin measured along the stinger x-axis. The origin of the stinger axis system corresponds to the stinger origin specified on the Vessel component. The stinger x-axis corresponds to the vessel heave axis. The angle of the stinger y-axis relative to the vessel surge axis depends on the stinger angle specified on the vessel, which defaults to 180°, which is pointing in the aft direction. Refer to the 'Stinger' article, in particular the 'Stinger Co-ordinate System' section, for an illustration of the stinger axis system. Note that if this is left blank, then the value defined on the Stinger will be used instead. Units: [m] or [ft] |
Centre of Curvature – Y: |
The distance of the centre of curvature from the stinger origin measured along the stinger Y-axis. See the description above for Centre of Curvature – X for more information. Note that if this is left blank, then the value defined on the Stinger will be used instead. Units: [m] or [ft] |
Radius of Curvature: |
The radius of curvature of the stinger. Note that if this is left blank, then the value defined on the Stinger will be used instead. Units: [m] or [ft] |

Input |
Description |
Radius Entry No. |
A number corresponding to an entry in the Vessel Radii of Curvature dialog. The row in this dialog will then be replaced with the values entered for this parameter. Note that if the value entered is not a valid row, the entry will be ignored. |
Radius of Curvature: |
The radius of curvature that is to apply to supports on the stern side of the corresponding Y Coordinate. This must be a positive non-zero entry. If a support is in a region of curvature and has its Fine Tune Offset set to [CALCULATED] then the PipeLay user interface offsets the support location so that it falls on the desired arc of curvature. Note that if this is left blank, then the value defined on the Vessel will be used instead. Units: [m] or [ft] |
Y Coordinate: |
The distance of the tangent point between two areas of different pipe curvature from the vessel origin measured along the local vessel surge axis. A Y Coordinate input is mandatory for each specified Radius of Curvature. For multiple Radii of Curvature, the coordinates are to be in descending order. Note that if this is left blank, then the value defined on the Vessel will be used instead. Units: [m] or [ft] |
Analysis Optimisation: |
A drop-down list which allows you to select Yes or No to instruct the analysis engine to carry out further optimisation on the Fine Tune Offset for supports in the corresponding area of curvature. Such additional optimisation may be needed when there are concentrations of curvature over supports. Refer to Technical Note 8 for more information. Note that if this is left blank, then the value defined on the Vessel will be used instead. |

Input |
Description |
Support: |
A drop-down list that allows you to specify whether the support is to be switched off or on. By default, the support is switched off. Naturally, the On option is only valid if the relevant support has been switched off in a previous analysis stage. |

Input |
Description |
Static Longitudinal Coefficient: |
The coefficient of seabed friction in the longitudinal or axial direction.
|
Static Transverse Coefficient: |
The coefficient of seabed friction in the transverse direction.
|
Kinetic Friction Ratio: |
The kinetic friction ratio is the ratio between static friction and dynamic friction. The kinetic friction coefficient is typically less than the coefficient of static friction, reflecting the common experience that it is easier to keep something in motion across a surface than to start it in motion from rest. Once the pipeline starts to move on the seabed, a kinetic friction coefficient (kinetic friction ratio * static friction) is calculated and applied in the analysis. The kinetic friction ratio defaults to 1, which specifies that the same friction coefficient is employed regardless of whether the pipe is moving or not. |
Assume Longitudinal Friction Distribution: |
A drop-down list that allows you to specify whether or not an assumed longitudinal friction distribution is to be applied on the seabed. The default is No. When specifying an initial static analysis, you have the option of assuming a longitudinal friction distribution along the seabed length based on the mobilization of friction loads during the pull-out installation stages. This feature assumes a pre-determined longitudinal friction distribution along the seabed section of the pipe. This means that a distributed force is applied along the seabed which is equal to the limiting friction force replicating the mobilisation of friction along the seabed. The axial force along the seabed is the same as an analysis in which a vessel is offset to mobilise friction along the seabed. This gives you the option of specifying an analysis with a section of pipeline already laid on the seabed. |
Direction: |
A drop-down list that allows you to select the direction in the global Y-axis in which the assumed longitudinal friction distribution force is to be applied. The default is Negative. When specifying an assumed longitudinal friction distribution, a distributed force is applied on the seabed relating to the limiting friction force: (weight per unit length * longitudinal friction coefficient) Under normal operations, friction is mobilised by offsetting a vessel in the analysis. The direction of limiting friction force is governed by the direction of the vessel offset. In an assumed longitudinal friction distribution, no vessel offset is applied and friction is mobilised by applying the limiting friction force. Thus the direction to apply the limiting force is an input. The direction of the applied friction distribution is along the global Y-axis. This option is only available for initial static analyses. |

Input |
Description |
Stabiliser: |
An On or Off drop-down list that allows you to enable cable component stabilisation. When stabilisation is switched On for a particular component its start and end points are pinned for the initial static analysis step and are then released during a subsequent quasi-static step, after which the normal static analysis procedure takes place. This two-step process is intended to allow models to reach a fully equilibrium state before trying to perform a full static analysis sequence on them. Such stabilisation is useful for scenarios where there are natural hinge points along the pipeline, for example where cables meet heavy rigid bodies, and these points tend to move suddenly during the initial static step leading to instability and convergence difficulties. Certain start-up or laydown procedures are examples of such scenarios. |

Input |
Description |
Stabiliser: |
An On or Off dropdown list that allows you to enable pipe section component stabilisation. When stabilisation is switched On for a particular component its start and end points are pinned for the initial static analysis step and are then released during a subsequent quasi-static step, after which the normal static analysis procedure takes place. This two-step process is intended to allow models to reach a fully equilibrium state before trying to perform a full static analysis sequence on them. Such stabilisation is useful for scenarios where there are natural hinge points along the pipeline, for example where cables meet heavy rigid bodies, and these points tend to move suddenly during the initial static step leading to instability and convergence difficulties. Certain start-up or laydown procedures are examples of such scenarios. |

Input |
Description |
Length: |
The payout pipe section length. An additional length of pipe section can only be added to a model which includes a Line component specified using the payout feature. Only one Line component specified using the payout feature can be included in any model as it is only possible to pay out additional lengths from one component. If the Pay Out (Pipe) option is selected for a model, which does not include a Line component with the payout feature, then no additional pipe is added. This option is only available for restart analyses. Units: [m] or [ft] |

Input |
Description |
Length: |
The payout pipe section length. Units: [m] or [ft] |
Rate: |
The rate of payout of the pipe section. This value determines the rate at which the additional pipe section is added to the model. When determining the total analysis solution time the rate and length specified here should be noted. This is to ensure that a sufficiently long analysis is specified to fully incorporate additional element lengths into the model. This option is only available for restart analyses. Units: [m/s] or [ft/s] |

Input |
Description |
Length: |
The payout cable length. This option is only available for restart analyses. Units: [m] or [ft] |

Input |
Description |
Winching Velocity: |
The maximum payout velocity of the winch. While the Pay Out (Pipe) option increases the length of pipeline by adding additional inactive elements to the model, the Pay Out (Cable) option increases the length of cable section by increasing the existing element lengths. Thus only a relatively small magnitude of cable length can be added to the model while a larger magnitude of pipeline can be added using the Pay Out (Pipe) option. This option is only available for restart analyses. Units: [m/s] or [ft/s] |
Ramp-up Start: |
The start time of ramp-up in the winching time sequence. Units: [seconds] |
Ramp-up End: |
The end time of ramp-up in the winching. Units: [seconds] |
Ramp-down Start: |
The start time of ramp-down in the winching. Units: [seconds] |
Ramp-down End: |
The end time of ramp-down in the winching. Units: [seconds] |

Input |
Description |
Length: |
The length of cable or pipe section that you want to remove from the model. The length of cable or pipe section is removed uniformly from the model at each static increment. This option is only available for restart analyses. Units: [m] or [ft] |

Input |
Description |
Winching Velocity: |
The maximum pay-in velocity of the winch. This option is only available for restart analyses. Units: [m/s] or [ft/s] |
Ramp-up Start: |
The start time of ramp-up in the winching time sequence. Units: [seconds] |
Ramp-up End: |
The end time of ramp-up in the winching. Units: [seconds] |
Ramp-down Start: |
The start time of ramp-down in the winching. Units: [seconds] |
Ramp-down End: |
The end time of ramp-down in the winching. Units: [seconds] |

Input |
Description |
Static Longitudinal Coefficient: |
The coefficient of seabed friction in the longitudinal or axial direction.
|
Static Transverse Coefficient: |
The coefficient of seabed friction in the transverse direction.
|
Kinetic Friction Ratio: |
The kinetic friction ratio is the ratio between static friction and dynamic friction. The kinetic friction coefficient is typically less than the coefficient of static friction, reflecting the common experience that it is easier to keep something in motion across a surface than to start it in motion from rest. Therefore once the pipeline starts to move on the seabed, a kinetic friction coefficient (kinetic friction ratio * static friction) is calculated and applied in the analysis. The kinetic friction ratio defaults to 1 which specifies that the same friction coefficient is employed regardless of whether the pipe is moving or not. |

Input |
Description |
Wave Height: |
The primary wave height. This option is only available for dynamic analyses and is not applied if the primary wave type does not use a wave height input on the Wave component. For regular wave types the wave height input here is scaled by a half to get the corresponding amplitude. Units: [m] or [ft] |

Input |
Description |
Wave Period: |
The primary wave period. This option is only available for dynamic analyses and is not applied if the primary wave type does not use a wave height input on the Wave component. Units: [seconds]. |

Input |
Description |
Wave Direction: |
The primary wave direction. This option is only available for dynamic analyses. Units: [degrees] |

Input |
Description |
Start Coefficient: |
The initial coefficient of longitudinal seabed friction. Units: [m] or [ft] |
Incremental Value: |
The incremental value to be added to the longitudinal seabed friction coefficient. Units: [m] or [ft] |
No of Steps: |
The number of analyses to be performed. The number of sensitivity analyses performed is dependent on the number of steps requested. The longitudinal friction coefficient applied in each analysis is defined by the start coefficient and the incremental value at each step. |
Seabed Displacement: |
The actual seabed displacement. A vessel offset is specified and this offset is applied to each friction sensitivity analysis. The offset is required to mobilise friction along the seabed. For friction sensitivities, a series of static sensitivity analyses are performed with varying static longitudinal friction. The pipeline movement for each sensitivity analysis is checked against the defined pipeline displacement. PipeLay interpolates for the longitudinal friction coefficient that produces the closest match with the defined pipeline displacement. A table indicating the pipeline displacement for each sensitivity analysis and the resultant longitudinal friction coefficient is included in the analysis report file. This option is only available for restart analyses. Units: [m] or [ft] |

Input |
Description |
Change: |
The amount by which you want the analysis to change the length of the active region on the line component during the corresponding static restart stage. The procedure for applying such a change is outlined in the 'Line Component Type' section of the Line component. Units: [m] or [ft] |

Input |
Description |
Stage: |
A drop-down list of the analysis stages defined on the Installation Stages tab. This number identifies the installation stage in which the criterion is to be satisfied. |
Criteria Section |
|
Criteria: |
A drop-down list that allows you to specify the type of criterion to be satisfied. The list of criteria that are available for selection is Tension, Bending Stress, Bending Strain, Bending Moment, Von Mises Stress, Von Mises Strain, Departure Angle, Tip Separation, Component Height, Seabed Contact, Axial Stress, Axial Strain, Lay Back and Support Reaction. Note that only Tension criteria can be specified in PipeLay Starter Edition. |
Type: |
A drop-down list that allows you to specify the component type to which the criterion applies. This menu is disabled when the selected criterion is Departure Angle, Tip Separation, Component Height, or Support Reaction. |
Comp Name: |
A drop-down list that allows you to specify the component to which the criterion applies. |
Location: |
A drop-down list that allows you to specify the location on a component to which the criterion applies. This menu is not available when the selected criterion is Departure Angle, Tip Separation, Component Height, Lay Back, or Support Reaction and is disabled in such instances. It is also disabled for a stress, strain or moment criterion when the component type is set to Pipe Section or Cable. |
Values: |
Click on the Define button to open the Installation Stage Criteria – {Criteria Name} dialog, where {Criteria Name} reflects the criterion that you want to define. See the ‘Installation Stage Criteria – {Criteria Name}’ section for a detailed description of this dialog. |
Iterate On Section |
|
Type: |
A drop-down list that allows you to specify the type of the parameter to be adjusted in order to satisfy the specified criteria. The options are Fixed Connection Point (the default), Vessel Position, Component Length, Water Depth and Seabed Connection Point. If you select Fixed Connection Point or Seabed Connection Point, you then proceed to select the relevant connection point from the Name drop-down list. You then select a relevant vector (defined using an Axis System component) or global axis from the User Vector or Vector drop-down lists. PipeLay will move the selected connection point along a line parallel to the designated vector or axis as it attempts to satisfy the specified criteria. If you select Vessel, you then proceed to select the relevant Vessel component from the Name drop-down list. You then select a relevant vector (defined using an Axis System component) or global axis from the User Vector or Vector drop-down lists. PipeLay will move the selected Vessel along a line parallel to the designated vector or axis as it attempts to satisfy the specified criteria. Regarding a selected vector, PipeLay initially applies motion in a positive sense to the relevant Fixed Connection Point, Seabed Connection Point or Vessel parallel to the vector, so the vector should be set up such that it tends to aid criteria convergence if possible. In any case, PipeLay will immediately switch to motion in a negative sense if criteria divergence is exhibited in the first iteration. If you select Component Length, you then proceed to select the relevant Pipe Section or Cable component from the Name drop-down list. PipeLay will adjust the length of the selected component as it attempts to satisfy the specified criteria. The initial change in length may be positive or negative - PipeLay automatically estimates the direction most likely to aid criteria convergence. If you select Water Depth, you may then click on Define to specify minimum and maximum adjustment values. Multiple criteria may be specified in a single analysis stage. If this is the case, the order in which the criteria are specified determines the priority. Specifically, PipeLay will attempt to satisfy the first criteria, and only proceed to the second and subsequent criteria after the first has been satisfied. While multiple criteria may be specified in any particular analysis stage, only one parameter can be iterated upon in order to satisfy the specified criteria. |
Name: |
A drop-down list that allows you to select the connection point or component which is to be adjusted in order to satisfy the specified criteria. |
Vector: |
A drop down list that allows you to specify whether you wish to move the selected connection point or vessel along a pre-defined vector (defined using an Axis System component) or parallel to a global axis. There are four options available, User Defined, Global X, Global Y, and Global Z. If User Defined is selected then the User Vector drop down list is enabled and you must select a relevant Axis System component. Otherwise, PipeLay will move the connection point or vessel along the specified global axis. This menu is not relevant when the selected Type is Component Length or Water Depth and so is disabled in such instances.
|
User Vector: |
A vector along which PipeLay will move a Fixed Connection Point, Seabed Connection Point or Vessel Position while attempting to satisfy the specified criteria. This menu contains all user defined Axis System components. This menu is not relevant when the selected Criteria Type is Component Length or Water Depth and so is disabled in such instances. It is also disabled if a global axis is selected on the Vector drop down list. |
Tolerance: |
Click on the Define button to open the Installation Stage Criteria – Tolerance dialog. See the ‘Installation Stage Criteria – Tolerance’ section for a detailed description of this dialog. |

Input |
Description |
Minimum Value: |
The minimum permissible value of the specified installation criteria. Units: See Table 1. |
Maximum Value: |
The maximum permissible value of the specified installation criteria. Units: See Table 1. |
(a)The following table summarises the appropriate units for each of the installation criteria options.
Table : Installation Criteria Units
Input |
Metric |
Imperial |
Tension |
kN |
Kips |
Bending Stress |
MPa |
Ksi |
Bending Strain |
% |
% |
Bending Moment |
kNm |
kips.ft |
Von Mises Stress |
MPa |
Ksi |
Von Mises Strain |
% |
% |
Departure Angle |
Degrees |
Degrees |
Tip Separation |
M |
ft |
Component Height |
M |
ft |
Seabed Contact |
kN |
kips |
Axial Stress |
MPa |
ksi |
Axial Strain |
% |
% |
Lay Back |
m |
ft |
Support Reaction |
kN |
kN |
The parameters in this dialog should only be varied if PipeLay is finding it difficult to attain a configuration which satisfies the specified criteria. The default values are adequate for the majority of analyses.

Input |
Description |
Maximum Number of Iterations: |
The maximum number of iterations that PipeLay may perform while attempting to satisfy the specified criteria. The default maximum number is 100. |
Minimum Adjustment: |
The minimum adjustment which may be performed between successive iterations. The minimum adjustment defaults to 0.1m or 0.328 ft depending on the unit system being used for the project. |
Maximum Adjustment: |
The maximum adjustment which may be performed between successive iterations. The maximum adjustment defaults to 50m or 164.042 ft depending on the unit system being used for the project. |
Multi-Pass: |
An option to enable a two pass criteria analysis with an initial criteria analysis for linear materials and a subsequent criteria analysis after non-linear materials have been applied in the non-linear static analysis step. The default is Yes for a multi pass. Specifying No is equivalent to a single pass criteria analysis after non-linear materials have been applied. A two pass criteria provides additional solution robustness. |

Note
This tab is not available in PipeLay Starter Edition
Input |
Description |
Analysis Type: |
A drop-down list that allows you to select a fatigue analysis option. The options are Normal Lay (the default), Staged Operations and Hybrid Staged Operations. The Normal Lay fatigue option is used to determine the damage sustained during normal lay operations. The Staged Operations and Hybrid Staged Operations fatigue options are used to calculate the damage sustained during operations that can be considered as a series of sequential steps, such as DMA, sheave start-ups or SCR transfer. Normal Lay fatigue analyses are therefore completed for analyses consisting of a single installation stage while Staged Operations and Hybrid Staged Operations fatigue analyses are completed for analyses consisting of multiple stages. |
Suspended Length: |
A drop down list which allows you to specify whether the length of suspended pipe is Increasing (the default) or Decreasing during each stage of the analysis. This input is only relevant to a Hybrid Staged Operations analysis and is used to determine which direction to move tracked welds along the pipeline during individual pulls (or cycles). It is disabled for all other analysis types. |
Analysis Option: |
A drop-down list which allows you to select fatigue analysis option. The options are Full (the default), Previous and Restart. If Full is selected, a full dynamic analysis is completed before running the fatigue analysis. The Previous option allows you to run the fatigue analysis using the output from a previous dynamic analysis. The Restart option is used where you have previously run a fatigue analysis and wish to restart from the stress cycle data generated during that analysis. |
Previous Output Format: |
A drop-down list which allows you to select the output format. The options are Database (the default) and Timetrace. This menu is only relevant when the selected Analysis Option is Previous, and is disabled otherwise. |
Pipeline: |
A drop-down list of all the Pipe Section and Line components included in the model. |
Stress: |
A drop-down list that allows you to select which stress inputs are used in the fatigue analysis. The options are Combined or Von Mises. The default is Combined. If you select Combined, axial and bending stress timetraces are generated for each node on the pipeline of interest, at eight locations around the pipe circumference. The axial and bending stress timetraces are added together to form a combined stress timetrace, which is then used to determine the stress ranges for subsequent fatigue calculations. If you select Von Mises, the von Mises stress timetraces are generated for each node on the pipeline of interest, at eight locations around the pipe circumference. If axial and bending Stress Concentration Factors are defined in the Weld Properties dialog, then the highest factor is applied to the von Mises stress timetraces. The stress ranges are then calculated from the von Mises stress timetraces, and the fatigue computations are completed. |
Vessel End: |
A drop-down list which allows you to specify the vessel end of the pipeline. It contains all Vessel Connection Points defined in the model. You should ensure that the selected Vessel Connection Point is actually at the vessel end of the Line component selected in the Pipeline drop-down list. All vessel welds will be positioned relative to this Vessel Weld Reference Point. |
Length Along Pipeline: |
The length of the Tracked Weld Reference Point along the pipeline. The Tracked Weld Reference Point is used as a datum for connecting the various stages of an analysis and as such is only relevant for Staged Operations and Hybrid Staged Operations fatigue analyses. Tracked welds are positioned relative to this reference point in the direction in which the pipeline itself was defined. |
Vessel Weld Locations |
Click on this button to display the Fatigue Analysis – Vessel Welds dialog. See the ‘Fatigue Analysis – Vessel Welds Dialog’ section for a detailed description of this dialog. |
Tracked Weld Locations |
Click on this button to display the Fatigue Analysis – Tracked Welds – Staged dialog. See the ‘Fatigue Analysis – Tracked Welds – Staged’ section for a detailed description of this dialog. |
Weld Properties |
Click on this button to display the Fatigue Analysis – Staged Weld Properties or Fatigue Analysis – Normal Lay Weld Properties dialog, depending on the option you selected in the Analysis Type drop-down list. See the ‘Fatigue Analysis – Staged Weld Properties Dialog’ section or the ‘Fatigue Analysis – Normal Lay Weld Properties Dialog’ section for a detailed description of these dialogs. |
Allowable Damage |
Click on this button to display the Fatigue Analysis – Allowable Damage dialog. See the ‘Fatigue Analysis – Allowable Damage Dialog’ section for a detailed description of this dialog. |
Cycle Time |
Click on this button to display the Fatigue Analysis – Normal Lay Properties, Fatigue Analysis – Staged Operations Properties or the Fatigue Analysis – Hybrid Staged Operations Properties dialog, depending on the option you selected in the Analysis Type drop-down list. See the ‘Fatigue Analysis – Normal Lay Properties Dialog’ section, the ‘Fatigue Analysis – Staged Properties Dialog’ section or the ‘Fatigue Analysis – Hybrid Staged Properties Dialog’ section for a detailed description of these dialogs. |
Generate Database Output: |
A drop-down list which allows you to request generation of database output. The options are No (the default) and Yes. This menu is only relevant when the selected Analysis Option is Full, and is disabled otherwise. No database output is generated by default, to minimise disk space usage. |
Delete Stress History Timetraces: |
A drop-down list which allows you to request deletion of the stress history timetrace output. The options are Yes (the default) and No. This menu is not relevant when the selected Analysis Option is Restart, and is disabled in this instance. The stress history timetrace output generated during the random sea analysis is retained by default, for use in subsequent fatigue analyses. |
Generate Histogram Output: |
A drop-down list which allows you to request stress histogram outputs. The options are Yes and No (the default). |
Histogram Bins: |
This dialog allows you to specify the bins or divisions for the histogram output. See the 'Fatigue Analysis - Histogram Bins Dialog' section for a detailed description of this dialog.
|

Input |
Description |
Weld Distance: |
The distance of the first weld from the vessel reference point. The weld distance entered must be a positive value and should be less than the total length of the pipeline. The distance is measured positively from the Vessel Reference Point to the other end of the pipeline, regardless of the start and end points selected when adding the pipeline to the model. Units: [m] or [ft] |
Number: |
The number of welds. This value defaults to 1 in which case a single vessel weld is located on the pipeline. |
Spacing: |
The distance between consecutive welds. Units: [m] or [ft] |

This dialog is only relevant when the selected Analysis Type is Staged Operations or Hybrid Staged Operations, and is disabled otherwise.
Input |
Description |
Set Name: |
The name of the weld set to which the welds are to be added. |
Weld Distance: |
The distance of the first weld from the Tracked Weld Reference Point. The weld distance entered can be either a positive or negative value. Distance is measured positively from the Tracked Weld Reference Point in the direction in which the pipeline was defined. This direction is positive going from the pipeline start to end point, as selected when adding the pipeline to the model. Units: [m] or [ft] |
Number: |
The number of welds. This value defaults to 1 in which case a single weld is located on the pipeline. |
Spacing: |
The distance between consecutive welds. Units: [m] or [ft] |
It is possible (even likely) that not all tracked welds will be included in each installation stage. Naturally, the welds will have zero damage in all phases in which they are not present.

This dialog is only relevant when the selected Analysis Type is Normal Lay, and is disabled otherwise. In Normal Lay fatigue analyses the same weld properties are applied to all welds.
Input |
Description |
S-N curve: |
A drop-down list of all S-N Curve components defined in the project. It is used to select the S-N Curve that applies to all the welds. |
Bending SCF: |
A Stress Concentration Factor (SCF) value for bending stress. |
Axial SCF: |
A Stress Concentration Factor value for axial stress. |

This menu is only available when the selected Analysis Type is Staged Operations or Hybrid Staged Operations. The properties for the vessel welds in each stage are obtained from the nearest tracked welds.
Input |
Description |
Set Name: |
The name of the weld set to which the properties apply. The set names should correspond to the names used in defining the tracked weld positions. |
S-N curve: |
A drop-down list of all S-N Curve components defined in the project. It is used to select the S-N Curve that applies to this weld set. |
Bending SCF: |
A Stress Concentration Factor (SCF) value for bending stress. |
Axial SCF: |
A Stress Concentration Factor value for axial stress. |

Input |
Description |
Allowable Fatigue Damage: |
The maximum amount of fatigue damage allowable during the pipeline installation. The Allowable Fatigue Damage is used in calculating the maximum allowable standby time, i.e. the duration that the suspended pipeline can be held stationary without exceeding the specified Allowable Fatigue Damage. |

This menu is only relevant when the selected Analysis Type is Normal Lay, and is disabled otherwise.
Input |
Description |
Pull Length: |
The length of pipe paid out per pipe pull. Units: [m] or [ft] |
Cycle Time: |
The length of time between pulls. Units: [seconds] |

This menu is only relevant when the selected Analysis Type is Staged Operations, and is disabled otherwise.
Input |
Description |
Stage Number: |
The analysis stage number. Each Stage Number referenced must be defined previously on the Installation Stages tab of the Analysis component. |
Actual Duration: |
The actual length of time the pipeline will be in the configuration defined for this analysis stage. Units: [hours] |
Maximum Single Cycle Time: |
The maximum expected single cycle time for this analysis stage. Units: [hours] |

This menu is only relevant when the selected Analysis Type is Hybrid Staged Operations, and is disabled otherwise.
Input |
Description |
Stage Number: |
The analysis stage number. Each Stage Number referenced must be defined previously on the Installation Stages tab of the Analysis component. |
Actual Duration: |
The actual length of time the pipeline will be in the configuration defined for this analysis stage. Units: [hours] |
Maximum Single Cycle Time: |
The maximum expected single cycle time for this analysis stage. Units: [hours] |
Pull Length: |
The average length of pipe paid out per pipe pull during the analysis stage. Units: [m] or [ft] |
Cycle Time: |
The average length of time between pulls for the stage in question. Units: [hours] |

This menu is only relevant when the Generate Histogram Output drop-down list is set to Yes and is disabled otherwise.
Input |
Description |
Divisions for Stress Histogram Outputs: |
The stress histograms are assumed to start at a zero value, so the first division entry is assumed to be the upper bound of the first histogram bin; the second entry is the upper bound of the second bin and so on. Units: [MPa] or [ksi] |

Input |
Description |
Dynamic Stages: |
A drop-down list used to Include or Exclude (the default) dynamic stages in summary postprocessing. |
Input |
Description |
Type: |
A drop-down list used to select the type of summary postprocessing. The options are Motion (the default), Force, Criteria and Advanced. |
The inputs that are available on the Summary Postprocessing tab vary depending on the option that you select from the Type drop-down list. The following sections describe the inputs that are available depending on the summary postprocessing type.
Input |
Description |
Component Type: |
A drop-down list used to select the component type. The component type can be Pipe Section, Line, or Cable. |
Name: |
A drop-down list of all components of the relevant component type. It is used to select the component for which postprocessing is to be performed. A select all option is also provided on the list if you wish to quickly include all of the relevant components. |
Length 1: |
The distance from the start of the component to the start of the section for which motions are to be examined. This defaults to 0. Units: [m] or [ft] |
Length 2: |
The distance from the start of the component to the end of the section for which motions are to be examined. Units: [m] or [ft] |
Parameter: |
A drop-down list which allows you to select the degree of freedom for which the summary postprocessing is required. Select a value of 1 for the global X direction, 2 for the global Y direction, or 3 for the global Z direction; 4, 5 or 6 for the components of the rotation vector in the global X-, Y- and Z-axes respectively; or 7 for the magnitude of rotation. |
Scale: |
A scale factor to apply to the data. This input is optional, and defaults to a value of 1. |
Plot: |
A drop-down list, which allows you to select if you want a plot of the data produced. Yes is selected by default. |
Title: |
A descriptive title to be output on the plot. This input is optional. |
Notes:
(a) The output motions are the maximum motions for the selected section of the component for each analysis stage.
Input |
Description |
Component Type: |
A drop-down list used to select the component type. The component type can be Pipe Section, Line, or Cable. |
Name: |
A drop-down list of all components of the relevant component type. It is used to select the component for which postprocessing is to be performed. A select all option is also provided on the list if you wish to quickly include all of the relevant components. |
Length 1: |
The distance from the start of the component to the start of the section for which forces are to be examined. This defaults to 0. Units: [m] or [ft] |
Length 2: |
The distance from the start of the component to the end of the section for which forces are to be examined. Units: [m] or [ft] |
Parameter: |
A drop-down list which allows you to select the type of force for which the postprocessing is required. |
Scale: |
A scale factor to apply to the data. This input is optional, and defaults to a value of 1. |
Plot: |
A drop-down list, which allows you to select if you want a plot of the data produced. Yes is selected by default. |
Title: |
A descriptive title to be output on the plot. This input is optional. |
Notes:
(b) The output forces are the maximum forces for the selected section of the component for each analysis stage.
Input |
Description |
Criteria: |
The parameter type for which postprocessing is to be produced. The list of criteria which are available for selection are Tension, Bending Stress, Bending Strain, Bending Moment, Von Mises Stress, Von Mises Strain, Departure Angle, Tip Separation, Component Height, Seabed Contact, Axial Stress, Axial Strain and Support Reaction. |
Location: |
The location on the selected component for which the criteria is to be examined. The options provided here depend on the selected criteria. This menu is not available when the selected criterion is Departure Angle, Tip Separation, Component Height, or Support Reaction and is disabled in such instances. It is also disabled for a stress, strain or moment criterion when the Component Type is set to Pipe Section or Cable. |
Component Type: |
A drop-down list used to select the component type. This menu is disabled when the selected criterion is Departure Angle, Tip Separation, Component Height, or Support Reaction. |
Name: |
A drop-down list of all components of the relevant component type. It is used to select the component for which postprocessing is to be performed. A select all option is also provided on the list if you wish to quickly include all of the relevant components. |
Stress/Strain: |
A drop-down list that allows you to select whether you want to run the postprocessing based on maximum or minimum stress or strain values. This drop-down list is only available when you select Axial Stress or Axial Strain from the Criteria drop-down list. Defaults to Minimum. |
Scale: |
A scale factor to apply to the data. This input is optional, and defaults to a value of 1. |
Plot: |
A drop-down list, which allows you to select if you want a plot of the data produced. Yes is selected by default. |
Title: |
A descriptive title to be output on the plot. This input is optional. |
Input |
Description |
Component Type: |
A drop-down list used to select the component type. The options are Pipe Section (the default), Cable or Line. |
Name: |
A drop-down list of all components of the relevant component type. It is used to select the component for which postprocessing is to be performed. A select all option is also provided on the list if you wish to quickly include all of the relevant components. |
Parameter: |
A drop-down list of the parameters for which Advanced summary output can be produced. The options are Vessel Motion (the default) or Lay Back. The Vessel Position is defined as the horizontal distance between the ends of the selected Pipe Section, Line or Cable component, with respect to the corresponding distance at the first analysis stage. For example, the Vessel Position will typically start at zero and increase for each step in an abandonment analysis. See the figure below. The Lay Back is defined as the horizontal distance between the vessel end and the touchdown point, and is based on the selected Pipe Section, Line or Cable component. See the figure below. Units: [m] or [ft] |
Scale: |
A scale factor to apply to the data. This input is optional, and defaults to a value of 1. |
Plot: |
A drop-down list, which allows you to select if you want a plot of the data produced. Yes is selected by default. |
Title: |
A descriptive title to be output on the plot. This input is optional. |



Note
This tab is not available in PipeLay Starter Edition

Input |
Description |
Functional Stage: |
The analysis stage number corresponding to the functional installation stage for DNV postprocessing. Optional, see Note (a), but if a functional stage is specified it must be included in the analysis and it must also correspond to a static stage. |
(Gamma F) a: |
Functional load effect factor for load combination ‘a’. Defaults to 1.2. See Note (b). |
(Gamma F) b: |
Functional load effect factor for load combination ‘b’. Defaults to 1.1. See Note (b). |
(Gamma E) a: |
Environmental load effect factor for load combination ‘a’. Defaults to 0.7. See Note (b). |
(Gamma E) b: |
Environmental load effect factor for load combination ‘b’. Defaults to 1.3. See Note (b). |
Gamma C: |
Condition load effect factor. Defaults to 1.0. See Note (b). |
Notes:
(a)Once the functional installation stage is selected all remaining stages are assumed to be environmental in nature. Local buckling checks are performed on environmental stages only. However these checks will be directly dependent on the output from the functional stage. You can omit a dedicated Functional Stage from DNV Postprocessing and instead functional loads are taken from the start of each environmental stage.
(b)The various load effect factors are used to scale functional and environmental loads during the calculation of design loads (moments, effective tensions and compressive strains) for the two load combinations. For more information refer to the DNV Operation section.

Input |
Description |
Section: |
A drop-down list of all pipe sections in the related Model component. See Notes (a) and (b). A select all option is also provided on the list if you wish to quickly include all sections. |
SMYS: |
Specified minimum yield stress for the pipe section material. It must be a positive non-zero value. Units: [MPa] or [ksi] |
f y, temp: |
De-rating on yield stress (due to temperature) for the pipe section material. Defaults to zero. Units: [MPa] or [ksi] |
SMTS: |
Specified minimum tensile strength for the pipe section material. It must be a positive non-zero value. Units: [MPa] or [ksi] |
f u, temp: |
De-rating on tensile stress (due to temperature) for the pipe section material. Defaults to zero. Units: [MPa] or [ksi] |
Alpha U: |
Material strength factor for the pipe section material. Defaults to 0.96. |
Young’s Modulus: |
Young’s Modulus for the pipe section material. Defaults to 207 GPa metric or 30023 ksi imperial. Units: [GPa] or [ksi] |
Poisson’s Ratio: |
Poisson’s Ratio for the pipe section material. Defaults to 0.3. |
Diameter: |
Nominal outer diameter for the pipe section. If omitted it will default to the outer diameter specified on the relevant Pipe Section component. Units: [mm] or [in] |
Thickness: |
Nominal wall thickness for the pipe section. If omitted it will default to the wall thickness specified on the relevant Pipe Section component. Units: [mm] or [in] |
Alpha fab: |
Fabrication factor for the pipe section. Defaults to 0.85. |
Alpha h: |
Minimum strain hardening for the pipe section material. Defaults to 0.93. |
Alpha gw: |
Girth weld factor. Defaults to 1.0. |
f 0: |
Pipe section ovality. Defaults to 0.005. |
M factor: |
Moment scale factor for the pipe section. Defaults to 1.0. |
Te Factor |
Effective tension (axial force) scale factor for the pipe section. Defaults to 1.0. |
Epsilon Factor: |
Strain scale factor for the pipe section. Defaults to 1.0. |
Notes:
(a)The Section Properties dialog allows you to select which pipe sections from the related model are to be included in the DNV postprocessing. It also enables you to define a list of DNV specific properties for each of the selected pipe sections. These properties fall under three categories:
1.‘Engineering Characteristics’, such as specified minimum yield strength, specified minimum tensile strength, Young’s modulus, etc.
2.‘Code Factors’, such as the fabrication factor, girth weld factor, material strength factor, etc.
3.‘Load Scale Factors’, which are used to modify the magnitude of both functional and environmental loads prior to the computation of design loads.
(b)The manner in which the various section properties are used is described in the DNV Operation section.

Input |
Description |
Gamma m: |
Material resistance factor. Defaults to 1.15. |
Gamma SC: |
Safety class resistance factor. Defaults to 1.04 (low safety class). |
Gamma Epsilon: |
Strain resistance factor. Defaults to 2.0 (low safety class). |
Notes:
(a)These resistance factors are applied directly during the calculation of local buckling unity checks. For more information refer to the DNV Operation section.

Input |
Description |
Transience Period: |
Percentage of analysis duration corresponding to transience period. Defaults to 0%. See Note (a). Units: [%] |
Overbend Condition: |
A drop-down list specifying the condition of the overbend. Two options are available, Load Controlled and Displacement Controlled. Default is Displacement Controlled. See Note (b). |
Sagbend Condition: |
A drop-down list specifying the condition of the sagbend. Two options are available, Load Controlled and Displacement Controlled. Default is Load Controlled. See Note (b). |
Notes:
(a)The Transience Period refers to the duration at the start of the analysis (for dynamic stages) that you wish to exclude from DNV computations (as it may contain spurious output from dynamic transient effects). This input is expressed as a percentage of the total duration for the installation stage.
(b)The significance of the condition inputs is discussed in the DNV Operation section.

Note
This tab is not available in PipeLay Starter Edition

Input |
Description |
Section: |
A drop-down list of all pipe sections in the related Model component. See Notes (a) and (b). A select all option is also provided on the list if you wish to quickly include all sections. |
SMYS: |
Specified minimum yield strength for the pipe. It must be a positive non-zero value. Units: [MPa] or [ksi] |
Young’s Modulus: |
Young’s Modulus for the pipe section material. Defaults to 207 GPa metric or 30023 ksi imperial. Units: [GPa] or [ksi] |
Poisson’s Ratio: |
Poisson’s Ratio for the pipe section material. Defaults to 0.3. |
Diameter: |
Nominal outer diameter for the pipe section. If omitted it will default to the outer diameter specified on the relevant Pipe Section component. Units: [mm] or [in] |
Thickness: |
Nominal wall thickness for the pipe section. If omitted it will default to the wall thickness specified on the relevant Pipe Section component. Units: [mm] or [in] |
Ovality: |
Pipe out of roundness or ovality for use in computing the collapse reduction factor. Defaults to 0.005. |
f 0: |
Collapse Factor. This is 0.7 for seamless or electric resistance welded (ERW) pipe or 0.6 for cold expanded pipe, such as double submerged arc welded (DSAW) pipe. Defaults to 0.6. |
f 1: |
Bending Safety Factor, for installation bending plus external pressure. Defaults to 2.0. |
SAF: |
Strain Amplification Factor. Defaults to 1.0. |
Notes:
(a)The Section Properties dialog allows you to select which pipe sections from the related model are to be included in the API postprocessing. It also enables you to define a list of API specific properties for each of the selected pipe sections. These properties fall under three categories:
1.‘‘Engineering Characteristics’, such as specified minimum yield strength and Young’s modulus.
2.‘Code Factors’, such as the collapse and ovality.
3.‘Load Scale Factors’, such as bending safety and strain amplification factors.
(b)The manner in which the various section properties are used is described in the API Operation section.

Input |
Description |
Transience Period: |
Percentage of analysis duration corresponding to transience period. Defaults to 0%. See Note (a). Units: [%] |
Notes:
(a)The Transience Period refers to the duration at the start of the analysis (for dynamic stages) that you wish to exclude from API computations (as it may contain spurious output from dynamic transient effects). This input is expressed as a percentage of the total duration for the installation stage.

Note
This tab is not available in PipeLay Starter Edition
Input |
Description |
Line: |
A drop-down list of all of the Line components defined in the project. Use this list to select a Line component for which parameters are to be stored in a customised database. See Note (b) below. |
Vessel: |
A drop-down list of all of the Vessel components defined in the project. Use this list to select a Vessel component for which parameters are to be stored in a customised database. See Note (b) below. |
File Name – Define |
Click on the Define button to display the Tabular Output – File Name dialog. See the ‘Tabular Output – File Name Dialog’ section for a detailed description of this dialog. |
Select Stages - Define |
Click on the Define button to display the Tabular Output – Stages dialog. See the ‘Tabular Output – Stages Dialog’ section for a detailed description of this dialog. |
Parameter: |
A drop-down list that allows you to select the parameters that you want to include in the tabular report file. See Note (c) below for a list of the options that are available. To add a parameter to the tabular report, select the parameter from the drop-down list and click on Add. The parameter is displayed in the list at the end of the tab. The order in which the installation parameters appear in the list is important, as this is the order in which the parameters will appear in the custom tabular output file. To move installation parameters up and down the list, use the up and down buttons on the right side of the list. You can use the Remove button to remove the currently selected parameter from the list of custom tabular output parameters. You can use the Remove All button to remove all of the parameters from the list of custom tabular output parameters. |
Vessel 1: |
A drop-down list that allows you to specify the name of the vessel for which the value of a particular Parameter is required. This drop-down list is activated in the case of three parameters only, namely Vessel Distance, Vessel Displacement and Top Tension. See Note (c) below. |
Vessel 2: |
A drop-down list that allows you to specify the name of the second vessel for which the value of a particular Parameter is required. This is activated in the case of one parameter only, namely Vessel Distance. See Note (c) below. |
Notes:
(a)PipeLay provides multiple postprocessing options and facilities and a range of tabular and graphical output files is produced by default for each Analysis stage. A Custom Postprocessing component is provided to augment the default range of outputs in these files. The Analysis component further provides a Summary Postprocessing tab to define output to be tabulated and plotted across all stages of a multi-stage Analysis component. This Tabular Report tab provides a final postprocessing option, which is of limited applicability to the majority of program users. The feature was designed almost exclusively for use with the PipeLay features for the analysis of innovative solutions being proposed for flowline and riser (SCR) installation, such as self-installation from a floating production unit (FPU). The capability was originally implemented in a customised version of PipeLay that was built around these capabilities, and is now included in the general release of PipeLay to ensure compatibility with all previous versions, including customised versions.
(b)The generation of a tabular report can be considered a two-stage process. Firstly whenever a tabular report is requested, PipeLay automatically creates a customised database for the Analysis, into which the program inserts the values, from each Analysis stage, of only those parameters that might be required for generating this output. The production of this customised database significantly streamlines the subsequent production of the tabular report file(s). The tabular report file is designed to contain output from only one Line component, and calculates certain length parameters relative to only one Vessel component. If your model contains multiple Line and/or Vessel components (as would commonly be the case in the analysis of the self-installation of an SCR from an FPU), then you use the options in the CUSTOMISED DATABASE section of the Tabular Report tab to nominate the Line and Vessel of interest, and PipeLay then selects the contents of the customised database on this basis.
(c)The second stage in the generation of a tabular report file involves specifying the actual parameters you want to include in the file. You do this in the CUSTOMISED REPORT FILE section of the tab. The following table describes the parameter types that are available for selection:
Input |
Description |
Vessel Distance: |
The distance between two vessels specified in the model. This parameter is only applicable when your model contains more than one vessel. You use the Vessel 1 and Vessel 2 drop-down lists to nominate the relevant vessels for this output. |
Vessel Displacement: |
The displacement of a vessel from its initial position. You use the Vessel 1 drop-down list to nominate the relevant vessel for this output. |
Top Tension: |
The effective tension measured at the vessel connection point. You use the Vessel 1 drop-down list to nominate the relevant vessel for this output. |
Cable Out Length: |
The total length of cable section specified in the customised database. |
Pipe Out Length: |
The total length of pipe section specified in the customised database. |
Pipe Length Laid: |
The length of pipe section on the seabed. |
Pipe Length Lowered: |
The length of pipe section lowered during the installation stage. |
Maximum Stress: |
The maximum stress in the pipe section. |
Bottom Tension: |
The effective tension at the touchdown node. |
Touchdown Distance: |
The touchdown distance is defined as the horizontal distance between the pipeline end on the vessel and the touchdown point location, measured along the global Y-axis. |
Pipe Gain: |
The difference between the catenary length and the horizontal distance from the pipeline vessel end to the seabed connection point, measured along the global Y-axis. |
Pipe/Cable Elevation: |
The distance from the lowest point of the cable or pipe section to the mean water level. |
Pipe Movement: |
The distance the pipeline moves on the seabed. |
Winch Tension: |
The winch tension is assumed to be the effective tension at the top of the cable section specified in the custom database. |

Input |
Description |
File Name: |
The name of the tabular report file. As it may be necessary to define a number of different tabular report files from various installation stages, a unique name may be applied to each report file. The report file is given the file type .csv (comma separated value) and is produced in Excel format. It is important to remember that PipeLay cannot overwrite a .csv file that is already open in Excel. To update an existing file, ensure that the file is closed. Alternatively, specifying a new name in this menu creates a new tabular report file. |

Input |
Description |
Stage Number: |
The installation stage number. Only stage numbers that are included in the analysis are available in this menu. |
Include in Analysis: |
A drop-down list that allows you to specify if an installation stage is to be included in the tabular output file. The default is Yes. |