The Current component is used to define a current profile.

There are three types of current profile available in PipeLay, as follows:
For uniform current profiles, the current velocity and direction are constant throughout the water column.
For piecewise linear current profiles, the current velocity and direction vary in a piecewise linear manner throughout the water column.
For power law current profiles, the current velocity varies according to a 1/7th power law profile, and the current direction is constant throughout the water column.
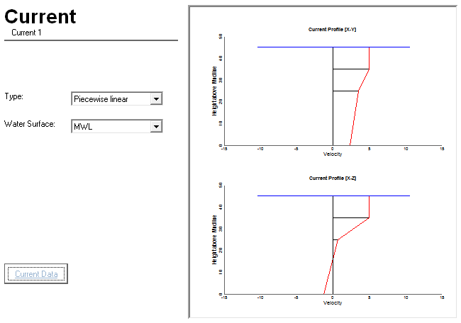
The Type drop-down list provides the facility to choose between the three current types listed above. The Water Surface drop-down list allows you to specify how PipeLay handles variations in current with variations in water level due to waves. The options available are Ambient or MWL (Mean Water Level). The Current Data button allows you to enter the parameters for the current you are specifying. PipeLay plots the current distribution you have input in the right-hand-side of the component view. Because a general 3D specification is possible, the plot shows the projection of the 3D current profile onto both the global XY and XZ planes.
The relevant data to specify a uniform current profile is the current velocity and direction. These are input via the Current Data dialog shown in the figure below. The direction is defined in terms of a rotation from the global-Y axis, positive being anti-clockwise.

Current Uniform Profile
For a piecewise linear current profile, the current velocity and direction vary in a piecewise linear manner throughout the water depth. Depth is defined in this case as the distance below the Mean Water Line. The Current Data dialog format for this case is shown in the figure below.

Piecewise Linear Current Profile
A minimum of two points are naturally required here to define a piecewise linear current distribution. Current velocity and direction at elevations intermediate to those specified are obtained by linear interpolation. At points above and below the elevations specified, the current velocity and direction are assumed constant with values equal to those specified at the highest and lowest elevations respectively.
The figure below shows a Current component view with an arbitrary 3D current profile plotted.

Plot of Piecewise Linear Current Profile
The relevant data to specify a power law current profile is the reference elevation, velocity and direction. The Current Data format for this case is shown in the figure below. The reference elevation is the height above the mudline at which the current velocity is a maximum.

Power Law Current Profile
Two additional articles describe the Current Data Inputs and Current Best Practice.