
Static Summary (Second Part) (analysis.tab)

Static Summary (Second Part) (analysis.csv)
1.Node No. – The number of the node in the pipeline finite element mesh.
2.Pipe Support – The name of the user-defined component used to model the support.
3.X Coord – The global-X coordinate of this support.
4.Y Coord – The global-Y coordinate of this support.
5.Z Coord – The global-Z coordinate of this support.
6.Reaction Vert – The local external reaction force in the vertical direction. See the figure below for support reactions convention.
7.Reaction Horiz – The local external reaction force in the horizontal direction. See the figure below for support reactions convention. Please note that generally a positive horizontal support reaction is parallel to the positive sense of the vessel local z axis (sway axis) while a negative value is in the opposite direction.

Vertical & Horizontal Reaction
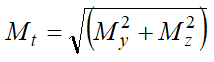
8.Total Moment - The resultant bending moment at this location, Mt, defined by
![]()
where My and Mz are the bending moments respectively about the local element y- and z-axes.
9.Total Stress – The von Mises stress at this location. The definition of stress computations is given in Technical Note 1.
10.Total Strain – The von Mises strain at this location. The definition of strain computations is given in Technical Note 2.
11.Percentage Allowable – The Total Stress/Strain expressed as a percentage of the Allowable Stress/Strain of the pipeline material